Tích cực hưởng ứng Ngày Pháp luật nước Cộng hòa xã hội chủ nghĩa Việt Nam góp phần nâng cao hiệu quả xây dựng, thi hành và bảo vệ pháp luậtTích cực hưởng ứng Ngày Pháp luật nước Cộng hòa xã hội chủ nghĩa Việt Nam góp phần nâng cao hiệu quả xây dựng, thi hành và bảo vệ pháp luật
Chi tiết bài viết
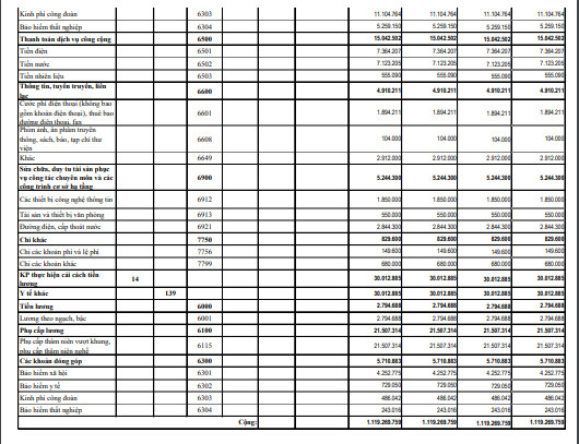
Quyết định công khai dự toán ngân sách Quý I/2022
Quyết định công khai dự toán ngân sách Quý I/2022 kèm phụ luc