Chi tiết bài viết
Quyết định công khai dự toán ngân sách nhà nước quý III năm 2023
Quyết định công khai dự toán ngân sách nhà nước quý III năm 2023

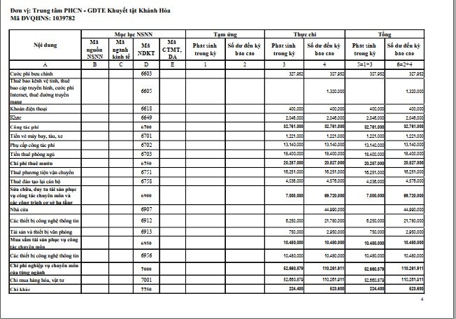
BẢNG PHỤ LỤC KÈM THEO QUYẾT ĐỊNH





Quyết định công khai dự toán ngân sách nhà nước quý III năm 2023

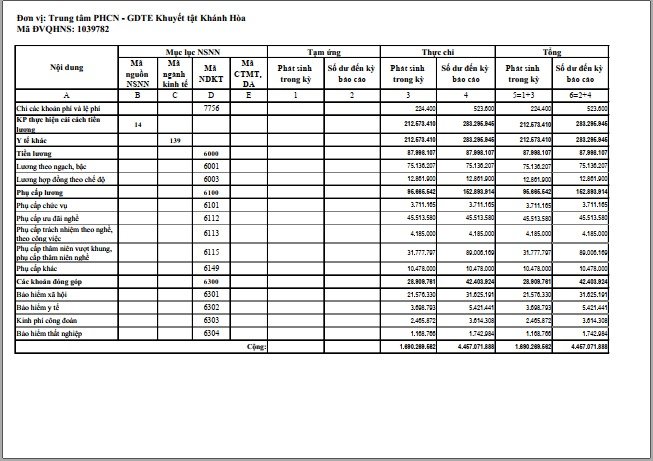
BẢNG PHỤ LỤC KÈM THEO QUYẾT ĐỊNH




